Profil
Découverte scientifique
Découverte scientifique
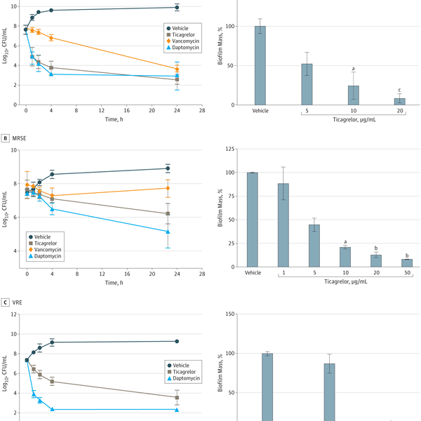
Une équipe de chercheurs du GIGA (ULg)-Sciences cardiovasculaires de l'Université de Liège, dirigée par Cécile Oury, Maître de recherches FNRS, découvre qu’un médicament, commercialisé sous le nom Brilique® en Belgique, et prescrit dans le cadre de maladies coronaires (dont l'infarctus), est aussi un antibiotique puissant.
Cette découverte représente une avancée majeure dans la lutte contre les infections par les bactéries Gram-positives résistantes aux antibiotiques.

